The influence of heating on the appearance of polarization singularities during the self-action of a Gaussian beam in the isotropic phase of a nematic liquid crystal in the pre-transition temperature region

GMShishkov, K S Grigoriev and V A Makarov
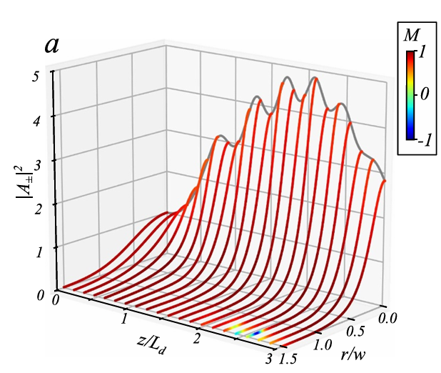
Heating of the medium occurs during the self-action of elliptically polarized light in the isotropic phase of a nematic liquid crystal near the transition temperature to the mesophase. We studied the influence of heating of the medium, on the propagation modes of laser radiation and the dynamics of the formation of singularity lines of circular polarization in the cross sections of the beam, which is closely related to the multifocal structure of the electric field. It is shown that an increase in the incident radiation intensity leads to a decrease in distance from the front end of the cylindrical cuvette to the beam cross section, containing the primary (brightest and most stable) polarization singularity lines, as well as in the radius of the circle they form. The range of parameters of the incident radiation and medium at which the multifocal structure of the electric field of the propagating beam is formed, as well as the intensity threshold values at which it appears, decreases with the growth of the thermal conductivity coefficient of the liquid crystal.

